multiplexer41 Inserito: 29 agosto 2022 Segnala Inserito: 29 agosto 2022 Salve a tutti, sono un nuovo utente. Questo è l'esercizio di un vecchio esame di elettronica, materia che dovrò affrontare a breve e volevo sapere se sto ragionando nel modo corretto. Riguardo la prima parte del testo, in cui c'è scritto di determinare la fdt a frequenza nulla, vedo che il condensatore si comporta come un circuito aperto e quindi avrò un circuito con 3 resistenze in totale, R1 collegato alla Vin e la serie R1+R2. Quindi la fdt è facile da trovare: -(R1+R2)/R1 che fa -11, quindi una costante. Il mio problema è la seconda parte, vorrei usare il metodo dei nodi ma non so se lo sto facendo correttamente. credo di averlo scritto correttamente, ma non so bene come continuare. Comunque V' è il nodo a cui sono collegati R1, R2 ed R3.
xblitz Inserita: 29 agosto 2022 Segnala Inserita: 29 agosto 2022 Il metodo dei nodi prevede la stesura di un sistema di n equazioni, tante quante sono il numero dei nodi. Da quello che ho capito hai individuato 2 nodi. Il nodo V' e l'uscita. Di sicuro c'è un errore al denominatore del terzo termine nella parentesi di V': tra parentesi devono esserci le conduttanze che fanno capo a quel nodo, ma la conduttanza del ramo di R3 non è R3. Ovviamente siamo a frequenza 0 giusto?
xblitz Inserita: 29 agosto 2022 Segnala Inserita: 29 agosto 2022 5 minuti fa, xblitz ha scritto: Ovviamente siamo a frequenza 0 giusto? No che non è giusto - l'ho letta dopo la seconda parte. Allora la resitenza è effettivamente R3. Vale comunque quanto detto sopra, fatto salvo che devi scrivere un'equazione che comprenda Vin sennò non tirerai mai fuori una relazione ingresso-uscita.
multiplexer41 Inserita: 30 agosto 2022 Autore Segnala Inserita: 30 agosto 2022 Io ho scritto le conduttanze, come ad esempio la conduttanza di R3, come 1/R3 che è appunto una conduttanza, il reciproco della resistenza. Ti posso chiedere di scrivere il procedimento? poi magari riuscirò a capirlo da solo
Livio Orsini Inserita: 30 agosto 2022 Segnala Inserita: 30 agosto 2022 I nodi sono 2: quello in ingresso e quello al centro della rete di reazione. In ogni nodo la somma delle corretnti deve essere nulla. Il verso della corrente in R1, nella rete di reazione, è errato; la corrente è uscente e va ad annullare la corrente entrante dalla sorgente. La corrente che dall'uscita entra in R2 è la somma delle correnti che scorrono in R2 e R1reazione, questa sarà identica alla corrente entrante. In pratica IR1re = Vin/R1. Da qui devi solo ricavare le altre 2 correnti, da cui ricavi il rapporto tra le due tensioni che determina la fdt dell'amplificatore.
xblitz Inserita: 30 agosto 2022 Segnala Inserita: 30 agosto 2022 (modificato) 12 ore fa, multiplexer41 ha scritto: Io ho scritto le conduttanze, come ad esempio la conduttanza di R3, come 1/R3 che è appunto una conduttanza, il reciproco della resistenza. Avevo sbagliato io perché pensavo stessi ragionando a frequenza nulla. Ma è stato un errore mio, l'ho pure scritto. 12 ore fa, multiplexer41 ha scritto: Ti posso chiedere di scrivere il procedimento? poi magari riuscirò a capirlo da solo Il metodo delle tensioni di nodo permette, data una rete di N nodi di scrivere un sistema di N-1 equazioni (un nodo infatti è al potenziale di riferimento, cioè è gratis). Devi quindi dare un nome ai vari nodi. I nodi sono Vin, Vout, V' e il nodo dell'invertente dell'opamp. La vout è un generatore pilotato (dalla tensione proprio di quest'ultimo nodo). Fai quindi il sistema con la regola. Sarà un sistema di 4 equazioni in 4 incognite. La Vin è nota - vuoi esplicitare il tutto rispetto a lei, è un generatore indipendente. Poi siccome l'opamp è supposto ideale devi fare un limite per A tendente all'infinito. Ricavando così l'espressione. Comunque è un metodo masochistico per risolvere una rete a T. Modificato: 30 agosto 2022 da xblitz
multiplexer41 Inserita: 30 agosto 2022 Autore Segnala Inserita: 30 agosto 2022 (modificato) @xblitztu come la risolveresti senza metodo dei nodi? Comunque considerate che è stata la mia professoressa a farmi scrivere l'equazione che ho inviato all'inizio, poi mi na fatto scrivere questo e ha detto che mi sarebbe servito per trovare la fdt: che per me ha senso, almeno a guardarlo, però non capisco il perché del segno negativo Modificato: 30 agosto 2022 da multiplexer41
xblitz Inserita: 30 agosto 2022 Segnala Inserita: 30 agosto 2022 (modificato) 55 minuti fa, multiplexer41 ha scritto: @xblitztu come la risolveresti senza metodo dei nodi? Come dice Livio Orsini. 55 minuti fa, multiplexer41 ha scritto: Comunque considerate che è stata la mia professoressa a farmi scrivere l'equazione che ho inviato all'inizio, poi mi na fatto scrivere questo e ha detto che mi sarebbe servito per trovare la fdt: Ed è corretto, perché ti sta dicendo di applicare il metodo del cortocircuito virtuale - La R1 della T ha un terminale collegato alla massa virtuale. Però quella equazione è una cosa "al di fuori" del metodo delle tensioni di nodo. Ovvero il computer non ha l'intuizione di capire se può usare quella equazione. 55 minuti fa, multiplexer41 ha scritto: però non capisco il perché del segno negativo Perché è sbagliato il verso delle correnti (o l'equazione) una corrente entra e una esce dal nodo che prima ho chiamato V- solo che non sono dalla stessa parte dell'equazione. Ovvero: Vin/R1+V'/R1=0 perché entrambe le correnti sono disegnate entranti e in un nodo la somma delle correnti (entranti e uscenti) è nulla. Una corrente entrante negativa è una corrente uscente positiva. Modificato: 30 agosto 2022 da xblitz
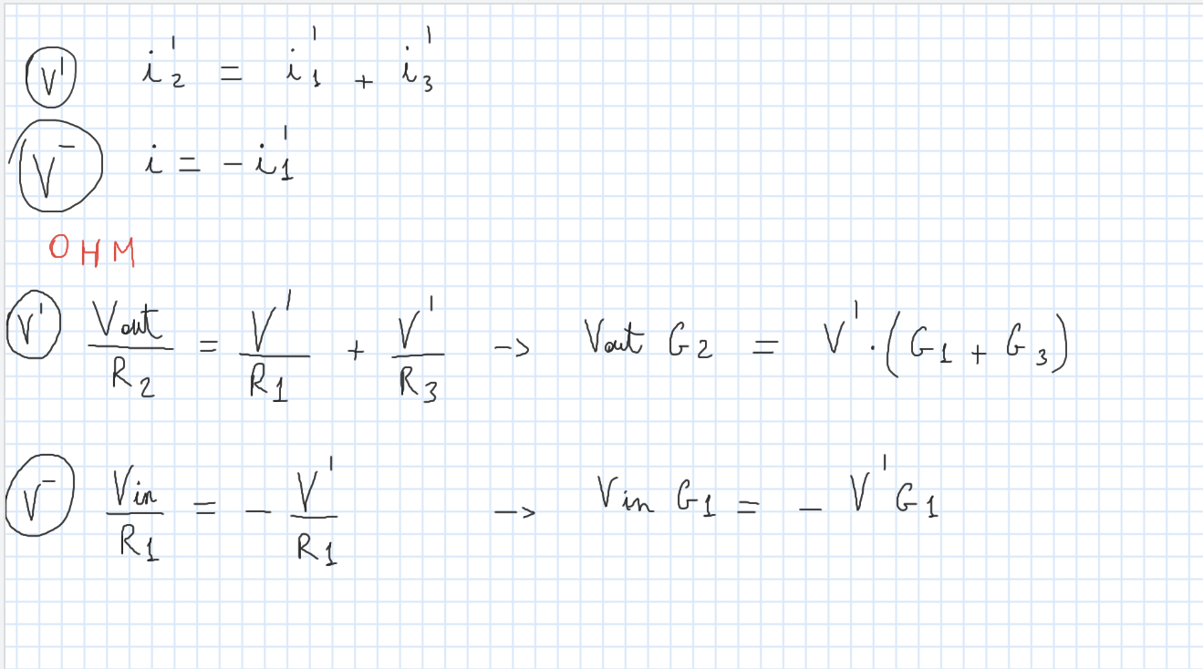
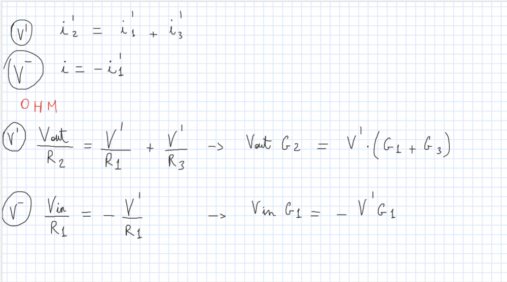
multiplexer41 Inserita: 30 agosto 2022 Autore Segnala Inserita: 30 agosto 2022 Così va bene? @xblitz @Livio Orsini
Livio Orsini Inserita: 30 agosto 2022 Segnala Inserita: 30 agosto 2022 49 minuti fa, multiplexer41 ha scritto: Così va bene? le correnti ora sono disegnate con il verso canonico. Anche le 2 equazioni delle correnti sono corrette. La i1 è nota perchè vale V1 / R1. Ai fini del calcolo R1' è in parallelo ad R3, perchè l'ingresso dello AO è al potenziale di massa, essendo l'amplificatore ideale. A questo punto basta applicare la legge di ohm.
multiplexer41 Inserita: 30 agosto 2022 Autore Segnala Inserita: 30 agosto 2022 @Livio Orsini Purtroppo la mia professoressa sull'argomento si era già espressa. Non ci sono resistenze in serie o parallelo, proprio per questo mi ha fatto usare il metodo dei nodi. Comunque grazie infinite per l'aiuto. Un'altra domanda, il motivo per cui il verso delle correnti è quello che ho disegnato, è perché considero come origine della corrente che attraversa la rete "in alto", ovvero quella formata dal nodo V' e dalle resistenze R1, R2 ed R3, la Vout, è corretto? Mentre l'origine della corrente che attraversa la resistenza R1 "in basso", è Vin, sbaglio?
xblitz Inserita: 30 agosto 2022 Segnala Inserita: 30 agosto 2022 Si perché sono componenti passivi quindi la corrente che entra entrerà sempre dal terminale positivo (della caduta di tensione) e uscirà sempre dal terminale negativo (della caduta di tensione). Questo vale anche per induttori e condensatori.
multiplexer41 Inserita: 30 agosto 2022 Autore Segnala Inserita: 30 agosto 2022 @xblitz però se un terminale di un componente passivo è positivo o negativo non dipende dal verso della corrente che scelgo io?
xblitz Inserita: 30 agosto 2022 Segnala Inserita: 30 agosto 2022 Certo! l'importante però è essere coerente quando scrivi le equazioni a partire dal disegno. Se alla fine ti viene una corrente negativa (valore numerico negativo) significa che nel disegno la corrente fluisce nel verso contrario a come l'hai disegnata (supponendo di aver disegnato bene).
multiplexer41 Inserita: 30 agosto 2022 Autore Segnala Inserita: 30 agosto 2022 Ok in questo caso ho una sola corrente negativa ed è la corrente i'1 rispetto al nodo V- perché questa corrente è quella generata da Vout , giusto @xblitz? Scusa ho il problema di dover cercare sempre conferma. Questa era comunque l'ultima domanda sull'esercizio
xblitz Inserita: 30 agosto 2022 Segnala Inserita: 30 agosto 2022 In realtà dipende dalla frazione: se è maggiore o minore di 1 la tensione di uscita è maggiore o minore di quella di ingresso e le correnti si riorganizzano di conseguenza. Il punto è che Vin, V+, V-, V' sono potenziali rispetto alla massa. Se invertissi i2' e considerassi la vout come negativa (mettendo un segno - nelle equazioni) i risultati ti tornerebbero comunque. Quando fai lo schema o scrivi le equazioni di fatto non stai facendo nessun conto ma sono operazioni simboliche, l'importante è quindi mantenere la coerenza con lo schema. Quando poi sostituisci e ricavi i valori numerici potrai stabilire se le correnti assegnate fluiscono in quel verso anche nella realtà oppure no.
multiplexer41 Inserita: 30 agosto 2022 Autore Segnala Inserita: 30 agosto 2022 @xblitz Scusa ma purtroppo è qualcosa che non sono mai riuscito a capire, credo di aver dato elettrotecnica solo per fortuna a questo punto...Io non dovrei dare un verso di riferimento alla corrente? Cioè in questo caso, quello che ho fatto, non è stato dare per scontato che Vin e Vout fossero entrambi positivi così da far partire le correnti da questi due potenziali?
xblitz Inserita: 30 agosto 2022 Segnala Inserita: 30 agosto 2022 (modificato) Nel circuito specifico si vede male... Ti faccio un esempio più semplice: immagina un resistore con 2 generatori di tensione indipendenti (riferiti a massa) ai suoi capi fissi un verso arbitrario della corrente ma a seconda di quale dei 2 generatori ha il valore più alto la corrente scorre in un vero o l'altro cioè risulterà positiva o negativa (concorde o discorde) rispetto al verso fissato. Nel caso del tuo circuito è difficile dire come si comporta effettivamente la corrente, l'unica è ricavare l'espressione e vedere se effettivamnte Vout-Vin influenza il segno della corrente. Modificato: 30 agosto 2022 da xblitz
xblitz Inserita: 30 agosto 2022 Segnala Inserita: 30 agosto 2022 11 minuti fa, multiplexer41 ha scritto: Cioè in questo caso, quello che ho fatto, non è stato dare per scontato che Vin e Vout fossero entrambi positivi così da far partire le correnti da questi due potenziali? Esatto l'hai dato per scontato.... e se avessi sbagliato? no problem, la corrente avrebbe avuto segno negativo.
Livio Orsini Inserita: 31 agosto 2022 Segnala Inserita: 31 agosto 2022 8 ore fa, xblitz ha scritto: Ti faccio un esempio più semplice: immagina un resistore con 2 generatori di tensione indipendenti (riferiti a massa) ai suoi capi fissi un verso arbitrario della corrente ma a seconda di quale dei 2 generatori ha il valore più alto la corrente scorre in un vero o l'altro cioè risulterà positiva o negativa (concorde o discorde) rispetto al verso fissato. Hai espsosto un caso "di scuola". Ricordo ancora, anche se son passati più di 60 anni, quando l'insegnante di elettrotecnica, per verificare la nostra conoscenza dei principi di kirchoff, ci assegnava esercizi di questo tipo. 12 ore fa, multiplexer41 ha scritto: Non ci sono resistenze in serie o parallelo, proprio per questo mi ha fatto usare il metodo dei nodi. Il fatto che ci siano resistenze in serie e in parallelo non inficia la legge dei nodi. Bisogna avere un minimo di apertura mentale, non cristallizzarsi sui postulati altrui. L'elettronica non è materia che si impara memorizzando formule, leggi e schemi. L'elettronica va capita, come anche l'elettrotecnica. Quando hai ben chiaro il perchè delle leggi che governano un determianto fenomeno, non ci sono problemi. Se invece ti limiti a memorizzare la legge poi alla prima apparente variazione ti blocchi. Nel caso in esame puoi benissimo disegnare un circuito equivalente usando 2 generatori di tensione che alimentano la rete resistiva, visto che il condensatore si suppone abbia impedenza nulla. I circuiti equivalenti con cui si simula il funzionamento di amplificatori operazionali lavoranao proprio in questo modo. Per mia curiosità puoi scirvere quale sarà l'esame che dovrai affrontare portando anche questo argomento?.
xblitz Inserita: 31 agosto 2022 Segnala Inserita: 31 agosto 2022 1 ora fa, Livio Orsini ha scritto: Hai espsosto un caso "di scuola". Ricordo ancora, anche se son passati più di 60 anni, quando l'insegnante di elettrotecnica, per verificare la nostra conoscenza dei principi di kirchoff, ci assegnava esercizi di questo tipo. Piccolo OT: io invece avrei pagato oro perché qualcuno mi spiegasse le cose in quel modo: alla fine mi sono dovuto dipanare la matassa per i fatti miei - facendo una fatica immane per una cosa così semplice - con dei pessimi libri (e ovviamente senza nemmeno l'uso dei simulatori, se uno impara la teoria difficile possa usare proficuamente un simulatore - che magari va pure impostato). GRAZIE SCUOLA. 1 ora fa, Livio Orsini ha scritto: Nel caso in esame puoi benissimo disegnare un circuito equivalente usando 2 generatori di tensione che alimentano la rete resistiva, visto che il condensatore si suppone abbia impedenza nulla. I circuiti equivalenti con cui si simula il funzionamento di amplificatori operazionali lavoranao proprio in questo modo. Esatto un generatore pilotato e una resistenza di ingresso elevata. Però consiglio di lasciarle "simboliche" e poi fare un limite perché se se considera A e Rin dell'opamp infinte fin da subito le approssimazioni potrebbero essere fuorvianti.
Livio Orsini Inserita: 31 agosto 2022 Segnala Inserita: 31 agosto 2022 1 ora fa, xblitz ha scritto: Però consiglio Se è un AO ideale la tensione dei 2 ingressi è identica, quindi l'ingresso inverente è a potenziale zero. Anche con amplificatore reale la differenza di potenziale sarebbe trascurabile perchè corrisponde alla sola tensione di offset che, nel caso di amplificatori di bassa qualità, è dell'ordine di alcuni mV. 1 ora fa, xblitz ha scritto: Piccolo OT: Ne aggiungo uno io. Non pensare che il mio insegnante fosse unoche ti guidava passo passo, ti buttava in mare e peggio per te se non sapevi nuotare. Era un gran lavativo che scriveva sulla lavagna stando seduto, usava solo lo spazione permesso dalla lunghezza del suo braccio, non cancellava e non voleva che si cancellasse la lavagna. Terminava le spiegazioni con la frase canonica: "Avete capito? No? Allora andate a lezione privata!". Se erano rpeviste 2 ore consecutive la prima mezz'ora la dedicava alla lettura del giornale. Quando il padre di un mio compagno se ne lamentò con il preside, smise di leggere il giornale per una settimana durante la quale nelle sue ore interrogò tutti meritandosi l'aggetivo di Amper (1 Amper = 1 Coulomb per secondo😀, devi immagianre coulomb con pronuncia lombarda ambrosiana). Poi riprese a leggere regolarmente il giornale e nessuno pensò di protestare dal preside. Il libro di testo era il classico Olivieri e Ravelli o, in alternativa, il Sebastianelli. Io avevo l'Olivieri che fa ancora bella mostra di se, assieme ad altri 2 libri della sua serie, su un ripiano dello scaffale dedicato ai testi tecnici ed ai manuali. Vicino ho i 3 libri di radiotecnica del Dilda. L'Olivieri mi è stato utile sia nel triennio di perfezionamento post diploma, sia per alcuni esami universitari. Adesso mi auto sanzione per l'OT esagerato.
xblitz Inserita: 31 agosto 2022 Segnala Inserita: 31 agosto 2022 (modificato) 1 ora fa, Livio Orsini ha scritto: Se è un AO ideale la tensione dei 2 ingressi è identica, quindi l'ingresso inverente è a potenziale zero. Se fosse 0 per davvero l'uscita sarebbe nulla pure lei. Quando ci spiegarono il CCV (ad elettronica analogica) il docente risolse proprio la rete lineare (di un invertente) con il metodo delle correnti di maglia e facendo tendere A e Rin all'infinito estrapolo la formula del ccv. Tutto questo per dirci che in realtà il ccv vuol dire solo che la tensione tra invertente e non invertente è più piccola di tutte le altre tensioni del circuito... ecco perché dicevo di usare il metodo delle tensioni nodali senza le approssimazioni del CCV: non ne caverebbe un ragno dal buco perché l'approssimazione sarebbe troppo grossolana (v-=0) non ho fatto i conti però se imponi la v- a 0 non hai una relazione con la Vin e infatti devi tirare in ballo la corrente la corrente che scorre tra Vin e V- che però come dicevo prima esula dal metodo che permette la stesura del sistema delle tensioni nodali. Poi anche io non sarei andato a complicarmi la vita. Anzi, a voler essere davvero rigorosi - sono andato a ricontrollare gli appunti di elettrotecnica, mannaggia a me che non l'ho fatto prima... il metodo delle tensioni nodali prevederebbe di trasformare il gruppo Vin-R1 (sarebbe un generatore reale di tensione\equivalente Thevenin) con il suo equivalente Norton e poi applicare il metodo: ecco che allora è evidente la presenza del nodo che io ho chiamato in precedenza v-. Modificato: 31 agosto 2022 da xblitz
Livio Orsini Inserita: 31 agosto 2022 Segnala Inserita: 31 agosto 2022 2 ore fa, xblitz ha scritto: Se fosse 0 per davvero l'uscita sarebbe nulla pure lei. Assolutamente no. Confronta il classico amplificatore invertente. Vo = -Vi * (Rf / Rs) Esempio Rs 1k (resistenza di sorgente) Rf 10k (resistenza di reazione) Vi = 1V Vo = -10V. Verifichiamo le correnti Ii = 1V / 1k ==> 1mA Io = -10V / 10k ==> -1mA Nel nodo di ingresso la somma delle correnti sarà eguale a zero. 2 ore fa, xblitz ha scritto: il docente risolse proprio la rete lineare (di un invertente) con il metodo delle correnti di maglia e facendo tendere A e Rin all'infinito estrapolo la formula del ccv. Forse ricordi male oppure il docente ...era meglio facesse il droghiere. L'amplificazione di un AO si ritiene giustamente infinita, ma nel caso dell'amplificatore in vertente il guadagno reale è dato dal rapporto tra l'impedenza di reazione e l'impedenza di sorgente. con il valore di corrente nullo. Nel caso dell'amplificatore non invertente le cose si complicano un poco. Qualsiasi documento, manuale relativo alla teoria degli amplificatori operazionali ti darà al dimostrazione analitica diu quanto sopra esposto. Dimostrazione che non aggiunge molto a quello che ho già scritto.
Messaggi consigliati
Crea un account o accedi per commentare
Devi essere un utente per poter lasciare un commento
Crea un account
Registrati per un nuovo account nella nostra comunità. è facile!
Registra un nuovo accountAccedi
Hai già un account? Accedi qui.
Accedi ora