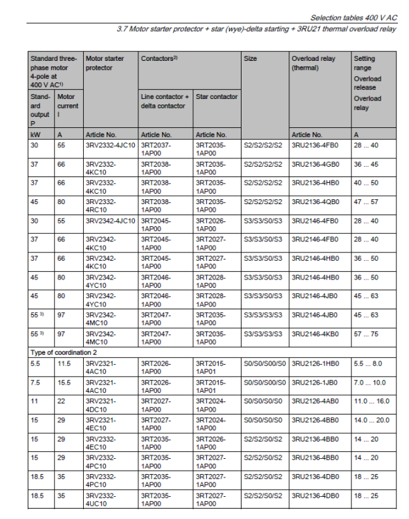
plfrmcmp83 Inserito: 21 febbraio 2024 Segnala Inserito: 21 febbraio 2024 Buongiorno, negli avviamenti stella-triangolo come dimensionare i contattori di linea e di triangolo? È sufficiente dimensionare secondo Imot / 1,73? Oppure secondo la piena corrente di targa del motore? Nelle tabelle di vari costruttori trovo dati contrastanti. Allego esempi Siemens e Lovato. Esempio per un motore da 45kW, meglio i contattori Siemens 2x3RT2046 (45 kW) +3RT2028 (18,5 kW), oppure Lovato 2xBF50 (22 kW) +BF32 (16 kW) ? Grazie.
luigi69 Inserita: 21 febbraio 2024 Segnala Inserita: 21 febbraio 2024 Io seguo le indicazioni del costruttore, come le tabelle che hai pubblicato tu . A secondo dei casi , tendo a sovradimensionare , in base all uso ed alle partenze previste . Mi sono spesso scontrato però con il morsetto piccolo , rispetto alle sezioni del motore , ovvero rispetto ad un avviamento diretto . Esempio , per il "lancio" di motori da 110 kw , avevo usato dei teleruttori richiesti dal cliente, appositamente con taglie più grandi , nonostante 1....2 avviamenti ogni 6 ore . Invece ho notato su compressori a vite , taglie da 11.....15 kw , dei teleruttori così sottodimensionati , che ogni 6....9 mesi devo sostituire uno , anche se da tabella risultano corretti ( ma anche 10....20 avviamenti ora ) Uso prevalentemente siemens..i lovato, senza nulla togliere ( .. ) , li lascio stare.. Inoltre , a seconda dell applicazione e della fretta del cliente , compongo io il set , oppure prendo i set completi , in modo da avere interblocco meccanico e ponticelli già pronti .
Roberto Gioachin Inserita: 21 febbraio 2024 Segnala Inserita: 21 febbraio 2024 3 ore fa, plfrmcmp83 ha scritto: È sufficiente dimensionare secondo Imot / 1,73? Dipende dal collegamento, se il contattore di triangolo viene alimentato da quello di linea, allora quello di linea va dimensionato per la corrente nominale del motore e quello di triangolo per Imot/1,73. Se invece (come di solito si fa) entrambi i contattori sono alimentati assieme, entrambi i contattori vanno dimensionati per Imot/1,73 Poi i termico sarà collegato sotto il contattore di linea ed anche quello va dimensionato (e tarato) per Imot/1,73
Messaggi consigliati
Crea un account o accedi per commentare
Devi essere un utente per poter lasciare un commento
Crea un account
Registrati per un nuovo account nella nostra comunità. è facile!
Registra un nuovo accountAccedi
Hai già un account? Accedi qui.
Accedi ora